Flame Retardant, Char Promotor, Smoke Suppressant
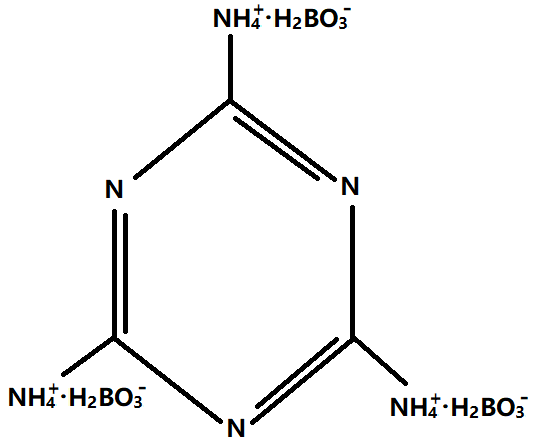
Formulation: C3H6N6.H3BO3
CAS No. 53587-44-3 EINECS No. 258-651-3 
| Index |
BM-01 |
| Appearance |
White Powder |
| N, % |
42-45 |
| B2O3, % |
15-20 |
| Surface Water,% ≤ |
1.0 |
| PH Value |
6-7 |
| Decomposition Temp,℃≥ |
140 |
| |
|
Introduction
BM-01 is a halogen free flame retardant that own both good properties of Nitrogen and Boron flame retardant.BM-01 has high N content that can release nonflammable N2, NH3 gas to dilute flame gas, and it contain Boric Salt that can form hard glassy layer to cover the material surface and restrain the combustion. Moreover, Nitrogen and Born in BM-01 have good synergism to improve the performance.BM-01 can be widely used in textile, fiber, coating, painting, adhesive etc. products as flame retardant.
In intumescent flame retardant, BM-01 is not only gas source and char promotor, but also smoke and flash suppressant.
BM-01 is often used with APP as synergist in cloth and fiber material, especially in insulation, normal dosage is 10%—15% by MB/APP(1/1)。
Package, Transportation and Storage
Standard package is 25kg/bag,500kg/bag,1000kg/bag.
And we can design package according to order.
Stored in cool, dry and well-ventilated environment.
Packed and transported as normal chemical goods.
|